Заявка пуста

Обратная связь

Ваше сообщение успешно отправлено. Спасибо.

Высоконапорный насос НВС 2-16

Фото высоконапорного насоса НВС 2-16
5 5 1 Product
Цена по запросу

+

Характеристики

3
2,2
41
2
110

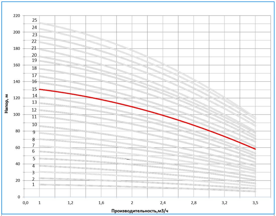
Рабочая характеристика насоса

Q,(м³/ч) 1 1,2 1,6 2,0 2,4 2,8 3,2 3,5
Н, (м) 130 126 119 110 99 86 72 59

КПД насоса

Кавитационный запас

Присоединительные и габаритные размеры

В1 В2 В1+В2 D1 D2 L L1 L2 b h Dy d d1 d2 n k
530 290 820 190 155 250 150 100 75 32 25 60 85 115 4 14
Список комментариев:
Никаких комментариев пока не отправлено.
Рейтинг:

Оставьте отзыв о товаре:

Логин:

Другие модели из категории

Аналогичные товары

Наверх