Заявка пуста

Обратная связь

Ваше сообщение успешно отправлено. Спасибо.

Высоконапорный насос НВС 4-14

Насос НВС 4-14 Иртыш
5 5 1 Product
Цена по запросу

+

Характеристики

4
3,0
46
4
101

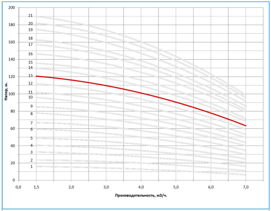
Рабочая характеристика насоса

Q,(м³/ч) 1,5 2,0 3,0 4,0 5,0 6,0 7,0
Н, (м) 122 113 110 101 91 80 61

КПД насоса

Кавитационный запас

Присоединительные и габаритные размеры

В1 В2 В1+В2 D1 D2 L L1 L2 b h Dy d d1 d2 n k
630 345 975 197 165 250 150 100 75 32 32 60 100 140 4 18
Список комментариев:
Никаких комментариев пока не отправлено.
Рейтинг:

Оставьте отзыв о товаре:

Логин:

Другие модели из категории

Аналогичные товары

Наверх