Заявка пуста

Обратная связь

Ваше сообщение успешно отправлено. Спасибо.

Высоконапорный насос НВС 8-17

Насос НВС 8-17 Иртыш
5 5 1 Product
Цена по запросу

+

Характеристики

10,0
7,5
92
8
146

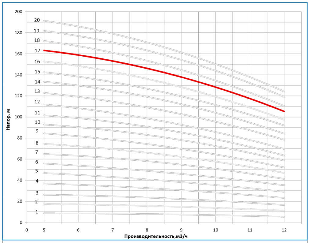
Рабочая характеристика насоса

Q,(м³/ч) 5 6 7 8 9 10 11 12
Н, (м) 164 158 153 146 138 129 118 105

КПД насоса

Кавитационный запас

Присоединительные и габаритные размеры

В1 В2 В1+В2 D1 D2 L L1 L2 b h Dy d d1 d2 n k
837 390 1227 260 208 280 199 130 80 45 40 80 110 150 4 18
Список комментариев:
Никаких комментариев пока не отправлено.
Рейтинг:

Оставьте отзыв о товаре:

Логин:

Другие модели из категории

Аналогичные товары

Наверх